Massively Distributed RPCs
report
Below there are the results of the test plan of
massively distributed RPCs.
Test Environment
Environment Description
Hardware
Paravance cluster (72 nodes) of Rennes site at Grid'5000
testbed.
| Model |
Dell PowerEdge R630 |
| CPU |
Intel Xeon E5-2630 v3 Haswell 2.40GHz (2 CPUs/node, 8
cores/CPU) |
| Memory |
128 GB |
- Storage
-
|
558 GB HDD SATA ST600MM0006 (x2)
- ------------------------------------------------------------------+
-
driver: ahci
|
- Network
-
|
eth0/eno1, Ethernet
- ------------------------------------------------------------------+
-
configured rate: 10 Gbps
- ------------------------------------------------------------------+
-
model: Intel 82599ES 10-Gigabit SFI/SFP+ Network Connection
- ------------------------------------------------------------------+
-
driver: ixgbe
------------------------------------------------------------------+
------------------------------------------------------------------+
eth1/eno2, Ethernet
------------------------------------------------------------------+
configured rate: 10 Gbps
------------------------------------------------------------------+
model: Intel 82599ES 10-Gigabit SFI/SFP+ Network Connection
------------------------------------------------------------------+
driver: ixgbe |
Software
| OS |
Debian 9 "Stretch" |
| oslo.messaging |
5.35.0 |
| pyngus |
2.2.2 |
| ombt |
2.3.0 (a3f0fc7) |
| ombt-orchestrator |
1.x |
| broker |
RabbitMQ server 3.6.x |
| router |
QP dispatch server 1.0.1 |
| topology |
complete_graph (router only) |
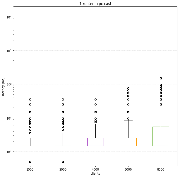
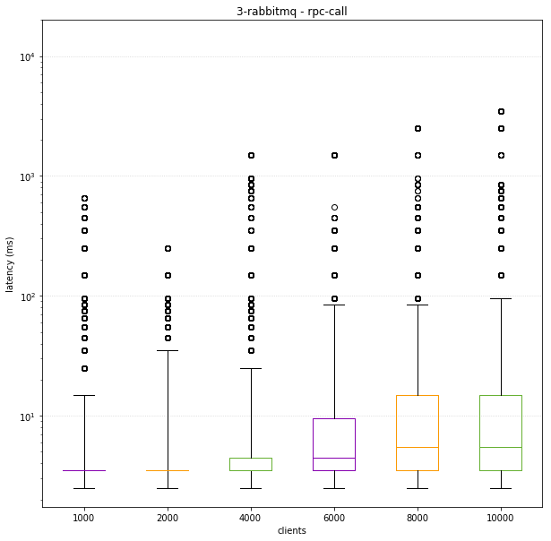
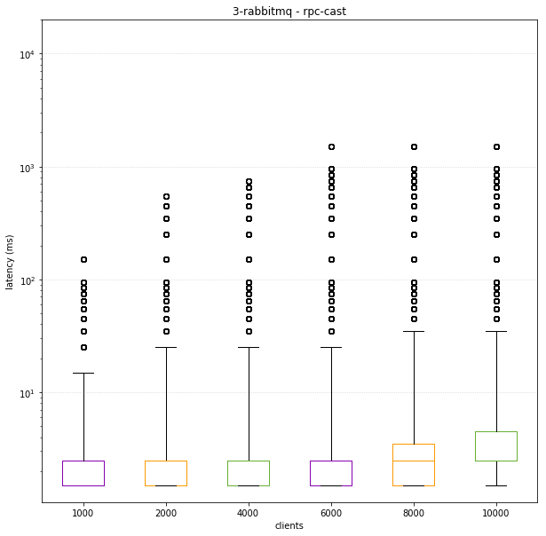
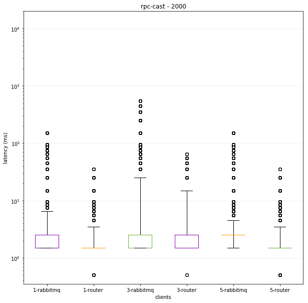
Test Case 1
Latency
Driver and Call Type
| Driver |
Instances |
Type |
Messages |
Latency |
Distribution |
| broker |
1
|
rpc-call |

|

|

|
| broker |
1
|
rpc-cast |

|

|

|
| router |
1
|
rpc-call |

|

|

|
| router |
1
|
rpc-cast |

|

|

|
| broker |
3
|
rpc-call |

|

|

|
| broker |
3
|
rpc-cast |

|

|

|
| router |
3
|
rpc-call |

|

|

|
| router |
3
|
rpc-cast |

|

|

|
| broker |
5
|
rpc-call |

|

|

|
| broker |
5
|
rpc-cast |

|

|

|
| router |
5
|
rpc-call |

|

|

|
| router |
5
|
rpc-cast |

|

|

|
Driver
distribution comparison against number of clients
| Clients |
rpc-call |
rpc-cast |
| 1000 |
 |
 |
| 2000 |
 |
 |
| 4000 |
 |
 |
| 6000 |
 |
 |
| 8000 |
 |
 |
| 10000 |
 |
 |
RPC-CALL metrics
Metric results show maximum (collected) values for each case.
Memory usage on the bus
CPU usage on the bus
TCP connections on the bus
Network traffic on the bus
RPC-CAST metrics
Metric results show maximum (collected) values for each case as
previous case.
Note that the max of Y range is not the same as metrics of
RPC-CALL.
Memory usage on the bus
CPU usage on the bus
TCP connections on the bus
Network traffic on the bus